找回密码
 立即注册

QQ登录

只需一步,快速开始

工控课堂 首页 工控文库 传感器仪表 查看内容

轮速传感器类型及信号处理

2021-11-13 20:48| 发布者: gk-auto| 查看: 3189| 评论: 0

摘要: 一、前言随着汽车市场的保有量连续多年的高速增长,人们对于汽车驾驶安全技术的要求也越来越高,尤其是主动安全技术。无论是如今应用广泛的防抱死系统(Antilock Brake System,ABS)、车身电子稳定系统(Electronic ...

一、前言


随着汽车市场的保有量连续多年的高速增长,人们对于汽车驾驶安全技术的要求也越来越高,尤其是主动安全技术。无论是如今应用广泛的防抱死系统(Antilock Brake System,ABS)、车身电子稳定系统(Electronic Stability Program,ESP),还是逐渐兴起的高级驾驶辅助系统(Advanced Driver Assistance System,ADAS), 汽车防撞预警系统(Forward Collision Warning System,FCWS),都需要准确地获取当前轮速,或者通过汽车ECU对轮速信号进行逻辑计算估算出汽车速度。


本文主要是对市场主流的轮速传感器工作原理和信号特征进行分析说明,在此基础上,针对性地对轮速传感器应用进行实例介绍,同时对轮速传感器的发展做出展望。


二、轮速信号的采集


轮速信号的采集过程实际上可以看作是对旋转件的测速过程。转速测量常用的光电式、电涡流式和电磁式等也曾应用于汽车轮速信号的测量。相比较而言,电磁式轮速传感器工作可靠,价格合适,受环境因素(如温度、灰尘等)的影响较小,基于以上优点,电磁式轮速传感器在轮速信号的采集中应用广泛。


电磁式轮速传感器大致分为电感式、霍尔式和磁阻式三种类型。其中,电感式轮速传感器是被动式轮速传感器,又称无源轮速传感器;相对应的,霍尔式和磁阻式轮速传感器是主动式轮速传感器,也称有源轮速传感器,有一个电源电路为传感器提供外部电压供电,在外部供电无法提供时,主动式轮速传感器将无轮速信号产生。


1、电感式轮速传感器


电感式轮速传感器基于电磁感应原理,利用电磁感应把被测对象的运动转换成线圈的自感系数和互感系数的变化,再由电路转换为电压或电流的变化量输出,实现非电量到电量的转换。由电磁感应定律可知,通过回路面积的磁通量发生变化时,回路中会产生感应电动势,如公式(1)所示:


一文看懂轮速传感器类型及信号处理

一文看懂轮速传感器类型及信号处理


由式(1)、(2)可见,磁通量的变化决定了感应电动势的输出,磁通量的变化频率决定了感应电动势的输出频率。电感式轮速传感器工作原理结构如图1所示。


一文看懂轮速传感器类型及信号处理


当车轮运动时,齿圈随半轴转动,齿圈的齿形变化引起齿圈与永久磁铁间隙的变化,继而对磁通量造成影响,感应线圈中的感应电动势随之变化。通过对输出电势的频率统计,可知车轮转速为:


一文看懂轮速传感器类型及信号处理


P —系数,一般根据单位调整;

f —感应电动势频率;

z —齿数。


2、霍尔式轮速传感器


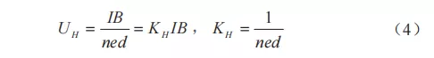
霍尔式轮速传感器基于霍尔效应,由霍尔组件结合电子元件组成,霍尔元件外加与电流方向垂直的磁场,在霍尔元件的两端会产生电势差,即霍尔电势差。


一文看懂轮速传感器类型及信号处理


式中,I —输入电流;B —磁感应强度;n —自由电子浓度;e —电子电荷量;d —霍尔元件厚度;KH —霍尔系数,定义霍尔元件的灵敏度,仅与元件材料有关,为一常量。


由式(4) 可 见,UH、I和B三者确定其中两个,另一个参数也就确定。


值得注意的是,自由电子浓度 n 受温度影响较大,要注意消除温度变化造成的影响。霍尔式轮速传感器工作原理结构如图2所示。


一文看懂轮速传感器类型及信号处理


具有磁化轨道的转轴或磁性轴用于产生磁场,永久背磁用于产生偏转磁场。A和B可统称为编码器。


车轮运动时,编码器转动,霍尔式轮速传感器检测到编码器的磁通量的大小变化。通常传感器内部包含两个霍尔元件,运动过程中产生具有一定相位差的波形,两波形经差分放大,实现精度和灵敏度的提高。


车轮转速也可用式(3)表示,其中 f 表示为霍尔电压的信号频率。


3、磁阻式轮速传感器


可变磁阻式轮速传感器基于磁阻效应,与霍尔效应类似的是,在磁阻效应元件上接通电流和通过磁场,这里的磁场与电流成角度 α 设置,如图 3,这样磁场耦合到磁阻效应元件(一般为铁磁材料制作的薄板,称之为韦斯磁畴)方向的磁通量的变化率发生变化,从而改变元件的电阻(系数)。


一文看懂轮速传感器类型及信号处理


当外部磁场与磁阻元件中的电流之间的夹角 α 发生变化时,磁阻元件电阻 R 变化,有:


一文看懂轮速传感器类型及信号处理


一文看懂轮速传感器类型及信号处理


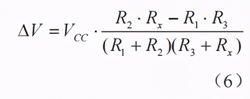
图4中可以看到,当 α=90° 时,磁阻元件电阻 R最小;当 α=180°(0°)时,磁阻元件电阻 R 最大。磁阻元件一般后接电桥进行信号处理,惠斯通电桥如图 4。磁阻元件做为Rx,根据电桥原理,Rx 的变化引起 R1 和 R3 两端电压差 ΔV 的变化,通过对 ΔV 实现对 Rx 变化率的放大。


一文看懂轮速传感器类型及信号处理

与霍尔元件的信号处理类似,当需要消除零点漂移时可以做差分处理,磁阻元件可以通过添加磁阻元件以及调整电桥结构进行差分放大,一般常用的是采用六桥结构。


车轮转速也可用式(3)表示,其中,f 表示为霍尔电压的信号频率。


三、轮速信号的处理


轮速信号采集后,还需要进行限幅、滤波等信号处理,从而使汽车 ECU 能够使用更稳定有效的轮速信息。


1、轮速信号类型


轮速信号采集后,首先要区分轮速信号类型。输出信号类型主要有以下四种,如图5所示。


一文看懂轮速传感器类型及信号处理


图5(a)中表示被动式轮速传感器的输出波形,这是一种类似于正弦波的波形,其频率、幅值的变化与气隙(传感器测试端外表面与靶目标间的距离)和编码器的旋转频率有关。如某轿车实验过程中,当气隙固定为0.8mm,在车速为15km/h 时,轮速传感器输出信号频率95Hz左右,电压幅值0.5V左右;在车速为1205km/h 时,轮速传感器输出信号频率761Hz 左右,电压幅值5.3V左右。


图5(b)、(c)、(d)中表示主动式轮速传感器的输出波形,一般采用霍尔元件或磁阻元件。


图 5(b)表示高低电流交替进行的方波信号。一般来说,在传感器允许的气隙范围内,方波信号的参数是基本一致的,或者说是有效的。这里的参数主要包括高电流 IH、低电流 IL 和占空比 t/T(一般为 50%),参数有效体现在数值处于一定区间内,这主要是由芯片性能确定,一般要求 IH 处于11.5mA~16.8mA,IL 处 于 5.7mA~9.6mA,占空比30%~70%。输出参数稳定有效,与轮速传感器相连接的处理单元才能够有效识别出轮速。


图5(c)、(d)中的传感器相当于图5(b)中传感器的升级版,表现在通过一定的方式体现出转速外更多的信息。


图5(c)中方波Xn的脉宽相对于半周期t1较窄(这里要注意的是:相对于图 5(b),PWM协议传感器占空比也是50%的上下区间,但不是tx/t1,而是 t1/T),这是该类传感器通过脉宽调制的方式输出额外信息,包括安装气隙的变化、车轮的正反转以及其他的警告信息。


图5(d)中的电流输出多出了一系列电流方波,这一类传感器通过电流方波组成的序列提供了附加信息,包括气隙储备、车轮正反转等。相对于PWM协议的轮速传感器,AK 协议的轮速传感器面对接近静止的低速情况下,以及静止情况(轮速为0)下具有更好的信息,体现在静止情况下,AK协议中的轮速方波消失,但是后面9位的信息方波依然能够输出。


图5(c)、(d)中的方波类型我们统称为数据图5(b)表示高低电流交替进行的方波信号。一般来说,在传感器允许的气隙范围内,方波信号的参数是基本一致的,或者说是有效的。这里的参数主要包括高电流IH、低电流IL和占空比t/T(一般为 50%),参数有效体现在数值处于一定区间内,这主要是由芯片性能确定,一般要求IH处于11.5mA~16.8mA,IL处于5.7mA~9.6mA,占空比30%~70%。输出参数稳定有效,与轮速传感器相连接的处理单元才能够有效识别出轮速。


图5(c)、(d)中的传感器相当于图5(b)中传感器的升级版,表现在通过一定的方式体现出转速外更多的信息。图5(c)中方波 Xn 的脉宽相对于半周期t1较窄(这里要注意的是:相对于图5(b),PWM 协议传感器占空比也是50% 的上下区间,但不是 tx/t1,而是 t1/T),这是该类传感器通过脉宽调制的方式输出额外信息,包括安装气隙的变化、车轮的正反转以及其他的警告信息。


图5(d)中的电流输出多出了一系列电流方波,这一类传感器通过电流方波组成的序列提供了附加信息,包括气隙储备、车轮正反转等。相对于PWM协议的轮速传感器,AK 协议的轮速传感器面对接近静止的低速情况下,以及静止情况(轮速为0)下具有更好的信息,体现在静止情况下,AK协议中的轮速方波消失,但是后面9位的信息方波依然能够输出。

关注公众号,加入500人微信群,下载100G免费资料!
发表评论

最新评论

热门资讯
关闭

站长推荐上一条 /1 下一条

QQ|手机版|免责声明|本站介绍|工控课堂 ( 沪ICP备20008691号-1 )

GMT+8, 2025-12-23 02:00 , Processed in 0.088793 second(s), 23 queries .

Powered by Discuz! X3.5

© 2001-2025 Discuz! Team.