找回密码
 立即注册

QQ登录

只需一步,快速开始

查看: 3645|回复: 14

伺服、步进、变频三大控制要点详解!

 火.. [复制链接]
  • 打卡等级:常驻代表
  • 打卡总天数:34
  • 打卡月天数:6
  • 打卡总奖励:9027
  • 最近打卡:2025-12-17 23:15:51

2823

主题

541

回帖

2万

积分

管理员

积分
22569
发表于 2020-7-16 20:55:04 | 显示全部楼层 |阅读模式
工业机器人周边运动控制部分主要有伺服控制、步进控制、变频控制三大部分,下面让我们来一一解答这些控制要点。
伺服控制
一、交流伺服电机的工作原理
伺服电机内部的转子是永磁铁,驱动器控制的U/V/W三相电形成电磁场,转子在此磁场的作用下转动,同时电机自带的编码器反馈信号给驱动器,驱动器根据反馈值与目标值进行比较,调整转子转动的角度。伺服电机的精度决定于编码器的精度(线数)。


二、伺服系统的组成及分类
组成:
伺服系统是以位置和角度为控制量的控制系统的总称,与位置和角度相关联的速度、角速度、加速度、力等为控制量的系统也包含在伺服系统内。
分类:
1. 按控制结构分类分为: 开环式、闭环式。2. 按驱动部件分类分为:a. 步进电动机伺服系统。b. 直流电动机伺服系统。c. 交流电动机伺服系统。
三、伺服马达(交流)的特点
1. 定位精度高,普通伺服马达可达到0.036度
2. 回应时间快。3. 控制方便灵活,控制系统易于实现。4. 型号较多,可根据不同的应用环境选择不同的类型。5. 提供全闭环控制,可适时监控运行状况,进行适当的调整变换。
四、伺服系统结构


五、伺服控制的选型步骤
1.确定机械规格,负载、刚性等参数。
2. 确认动作参数,移动速度、行程、加减速时间、周期、精度等。
3. 选择马达惯量,负载惯量、马达轴心转换惯量、转子惯量。
4. 选择马达回转速度。
5. 选择马达额定扭矩。负载扭矩、加减速扭矩、瞬间最大扭矩、实效扭矩。
6. 选择马达机械位置解析度。
7. 根据以上选择马达型号。
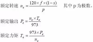
六、伺服控制的应用


步进控制
一、步进电机的工作原理
步进电机是一种将电脉冲转化为角位移的执行机构。当步进驱动器接收到一个脉冲信号,它就驱动步进电机按设定的方向转动一个固定的角度(称为“步距角”),它的旋转是以固定的角度一步一步运行的。可以通过控制脉冲个数来控制角位移量,从而达到准确定位的目的;同时可以通过控制脉冲频率来控制电机转动的速度和加速度,从而达到调速的目的。步进电机可以作为一种控制用的特种电机,利用其没有积累误差(精度为100%)的特点,广泛应用于各种开环控制。


二、步进电机的分类
现在比较常用的步进电机包括反应式步进电机(VR)、永磁式步进电机(PM)、混合式步进电机(HB)和单相式步进电机等。
●永磁式步进电机一般为两相,转矩和体积较小,步进角一般为7.5度 或15度;
●反应式步进电机一般为三相,可实现大转矩输出,步进角一般为1.5度,但噪声和振动都很大。反应式步进电机的转子磁路由软磁材料制成,定子上有多相励磁绕组,利用磁导的变化产生转矩。
●混合式步进电机是指混合了永磁式和反应式的优点。它又分为两相和五相:两相步进角一般为1.8度而五相步进角一般为 0.72度。这种步进电机的应用最为广泛。
三、步进电机系统


1. 步进电机的静态指标术语
a. 相数:产生不同对极N、S磁场的激磁线圈对数。常用m表示。
b.拍数:完成一个磁场周期性变化所需脉冲数或导电状态用n表示,或指电机转过一 个齿距角所需脉冲数 。
c. 步距角:对应一个脉冲信号,电机转子转过的角位移用θ表示。
d. 定位转矩:电机在不通电状态下,电机转子自身的锁定力矩(由磁场齿形的谐波以 及机械误差造成的)。
e. 静转矩:电机在额定静态电作用下,电机不作旋转运动时,电机转轴的锁定力矩。
2. 步进电机动态指标及术语
a. 步距角精度:步进电机每转过一个步距角的实际值与理论值的误差。
b. 失步:电机运转时运转的步数,不等于理论上的步数。称之为失步。
c. 失调角:转子齿轴线偏移定子齿轴线的角度 。
d. 最大空载起动频率:电机在某种驱动形式、电压及额定电流下,在不加负载的情况下,能够直接起动的最大频率。
e. 最大空载的运行频率:电机在某种驱动形式,电压及额定电流下,电机不带负载的最高转速频率。
f. 运行矩频特性:电机在某种测试条件下测得运行中输出力矩与频率关系的曲线称为运行矩频特性 。
四、步进电机选型
1. 步距角的选择:电机的步距角取决于负载精度的要求 。
2. 静力矩的选择:静力矩选择的依据是电机工作的负载 ,一般情况下,静力矩应为摩擦负载的2-3倍内好 。
3. 电流的选择:由于电流参数不同,其运行特性差别很大,可依据矩频特性曲线图,判断电机的电流。


五、步进电机的一些特点
1. 一般步进电机的精度为步进角的3-5%,且不累积。
2. 步进电机外表允许的最高温度一般在摄氏130度以上 。
3. 步进电机的力矩会随转速的升高而下降。
4. 步进电机低速时可以正常运转,但若高于 一定速度就无法启动,并伴有啸叫声。
5. 步进电机应用于低速场合---每分钟转速不超过1000转。


六. 两种电机之性能比较
1. 控制精度不同
五相混合式步进电机步距角一般为0.72 °、0.36°交流伺服电机的控制精度由电机轴后端的旋转编码器保证 ,对于带标准2500线编码器的电机而言,其脉冲当量为360°/10000=0.036°,伺服电机精度要比步进马达高。
2. 低频特性不同
步进电机在低速时易出现低频振动现象。交流伺服电机运转非常平稳,即使在低速时也不会出现振动现象。




3. 过载能力不同
步进电机一般不具有过载能力。交流伺服电机具有较强的过载能力 。
4. 运行性能不同
步进电机的控制为开环控制,启动频率过高或负载过大易出现丢步或堵转的现象,停止时转速过高易出现过冲的现象,交流伺服驱动系统为闭环控制,驱动器可直接对电机编码器反馈信号进行采样,内部构成位置环和速度环,一般不会出现步进电机的丢步或过冲的现象,控制性能更为可靠。
5. 速度响应性能不同
步进电机从静止加速到工作转速(一般为每分钟几百转)需要200~400毫秒。交流伺服系统的加速性能较好,以松下MSMA 400W交流伺服电机为例,从静止加速到其额定转速3000RPM仅需几毫秒,可用于要求快速启停的控制场合
6. 矩频特性不同
步进电机的输出力矩随转速升高而下降,且在较高转速时会急剧下降,交流伺服电机为恒力矩输出。
综上所述,交流伺服系统在许多性能方面都优于步进电机。但在一些要求不高的场合也经常用步进电机来做执行电动机。所以,在控制系统的设计过程中要综合考虑控制要求、成本等多方面的因素,选用适当的控制电机。


变频控制
一、通用电机介绍
三相鼠笼式交流电机是感应电机中最常见的一种,其构造及特性如下:


感应电机的构造示意图


电机的构造示意图




电机的特性
二、变频器原理与构成
变频器是能够简单、自由地改变交流电机转速的一种控制装置。改变交流电机转速的方法如下。
变频器是通过改变交流电机电源频率实现调速的:


变频器的构成如下:


1. 变流器(整流器)
大量使用的是二极管桥整流器,如图1 所示,它把工频电源变换为直流电源。也可用两组晶体管变流器构成可逆变流器,由于其功率方向可逆,可以进行再生运转。
2. 平波回路
在整流器整流后的直流电压中,含有电源6 倍频率的脉动电压,此外逆变器产生的脉动电流也使直流电压变动。为了抑制电压波动,采用电感电容吸收脉动电压(电流)。装置容量小时,如果电源和主电路构成器件有余量,可以省去电感,采用简单的平波回路。
3. 逆变器
同整流器相反,逆变器是将直流功率变换为所要求频率的交流功率,以所确定的时间使6 个开关器件导通、关断就可以得到3 相交流输出。
4. 制动回路
异步电动机在再生制动区域使用时(转差率为负),再生能量存于平波回路电容器中,使直流电压升高。一般说来,由机械系统(含电动机)惯量积累的能量比电容能储存的能量大,需要快速制动时,可用可逆变流器向电源反馈或设置制动回路(开关和电阻)把再生功率消耗掉,以免直流电路电压上升。
三、变频器的应用目的及用途
变频器和交流电机构成的可调速传动称为变频器传动,其功能用途如下。其中可能互为关联,实际上无明确分类,此表仅作参考。


本帖子中包含更多资源

您需要 登录 才可以下载或查看,没有账号?立即注册

×
工控课堂 www.gkket.com

0

主题

99

回帖

410

积分

注册会员

积分
410
发表于 2020-7-16 21:06:46 | 显示全部楼层
看到这帖子真是高兴!
工控课堂 www.gkket.com

0

主题

306

回帖

1037

积分

中级会员

积分
1037
发表于 2020-10-18 23:24:34 | 显示全部楼层
论坛有你更精彩!
工控课堂 www.gkket.com

0

主题

100

回帖

153

积分

新手上路

积分
153
发表于 2025-11-12 18:58:37 | 显示全部楼层
学到了学到了,这波分享太实用啦!
工控课堂 www.gkket.com

0

主题

109

回帖

251

积分

注册会员

积分
251
发表于 2025-11-12 18:58:38 | 显示全部楼层
来凑个热闹,为楼主增加点人气!
工控课堂 www.gkket.com

0

主题

75

回帖

113

积分

新手上路

积分
113
发表于 2025-11-12 19:08:53 | 显示全部楼层
说得对!狠狠赞同,没毛病~
工控课堂 www.gkket.com

0

主题

84

回帖

127

积分

新手上路

积分
127
发表于 2025-11-12 19:16:43 | 显示全部楼层
楼主太会说了,字字句句都在理
工控课堂 www.gkket.com

0

主题

87

回帖

134

积分

新手上路

积分
134
发表于 2025-11-12 19:21:11 | 显示全部楼层
水个经验,支持楼主,加油呀
工控课堂 www.gkket.com

0

主题

74

回帖

114

积分

新手上路

积分
114
发表于 2025-11-12 19:22:08 | 显示全部楼层
这评论区卧虎藏龙,个个都是人才!
工控课堂 www.gkket.com

0

主题

48

回帖

160

积分

新手上路

积分
160
发表于 2025-11-12 19:22:57 | 显示全部楼层
楼主辛苦啦,期待下一篇分享
工控课堂 www.gkket.com
您需要登录后才可以回帖 登录 | 立即注册

本版积分规则

关闭

站长推荐上一条 /1 下一条

QQ|手机版|免责声明|本站介绍|工控课堂 ( 沪ICP备20008691号-1 )

GMT+8, 2025-12-22 15:38 , Processed in 0.097271 second(s), 27 queries .

Powered by Discuz! X3.5

© 2001-2025 Discuz! Team.

快速回复 返回顶部 返回列表