|
一、液压传动的基本原理 
二、液压传动系统的组成 动力部分 执行部分 辅助部分 三、液压元件的图形符号 
四、液压传动的应用特点 易于获得很大的力和力矩。 调速范围大,易实现无级调速。 质量轻,体积小,动作灵敏。 传动平稳,易于频繁换向。 液压元件能够自动润滑,元件的使用寿命长。 液压元件易于实现系列化、标准化、通用化。 传动效率较低。 为减少泄漏,液压元件的制造精度要求较高。 1.压力的概念 油液的压力是由油液的自重和油液受到外力作用而所产生的。 压强——油液单位面积上承受的作用力,在工程中习惯称为压力。 2.液压传动系统压力的建立 
3.额定压力——液压系统及元件在正常工作条件下,按试验标准连续运转的最高工作压力。 过载——工作压力超过额定压力。 额定压力应符合流体传动系统及元件的公称压力系列。 4.静压传递原理(帕斯卡原理) 静止油液压力的特性: 静止油液中任意一点所受到的各个方向的压力都相等,这个压力称为静压力;油液静压力的作用方向总是垂直指向承压表面;密闭容器内静止油液中任意一点的压力如有变化,其压力的变化值将传递给油液的各点,且其值不变。这称为静压传递原理,即帕斯卡原理 5.静压传递原理(帕斯卡原理)在液压传动中的应用 
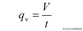
1.流量:单位时间内流过管道某一截面的液体体积。 
2.平均流速 
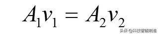
液流连续性原理——理想液体在无分支管路中稳定流动时,通过每一截面的流量相等。 
液体在无分支管路中作稳定流动时,流经管路不同截面时的平均流速与其截面面积大小成反比。 
七、压力损失及其与流量的关系 由静压传递原理可知,密封的静止液体具有均匀传递压力的性质,即当一处受到压力作用时,其各处的压力均相等。 由于流动液体各质点之间以及液体与管壁之间的相互摩擦和碰撞会产生阻力,这种阻碍油液流动的阻力称为液阻。 液阻增大,将引起压力损失增大,或使流量减小。 八、液压油的选用 牌号——黏度 黏度——液体黏性的大小。 为了减少漏损,在使用 温度、压力较高或速度较低时,应采用黏度较大的油。为了减少管路内的摩擦损失,在使用温度、压力较低或速度较高时,应采用黏度较小的油。
|