找回密码
 立即注册

QQ登录

只需一步,快速开始

查看: 12249|回复: 35

2019最新电缆载流量对照表,不用每次都百度了!

  [复制链接]
  • 打卡等级:即来则安
  • 打卡总天数:27
  • 打卡月天数:6
  • 打卡总奖励:7736
  • 最近打卡:2025-12-20 00:35:11

3317

主题

285

回帖

2万

积分

管理员

积分
23881
发表于 2019-1-4 22:23:38 | 显示全部楼层 |阅读模式
前言
近期有圈友咨询电力电缆的载流量,早期文章中有很多相关内容,比如载流量计算口诀、电力电缆载流量表。今天为大家整体、汇编了几份载流量表,希望对大家有所帮助。

10.6/1KV聚氯乙烯绝缘电力电缆载流量

常用型号VV22、VLV22聚氯乙烯绝缘钢带铠装聚氯乙烯护套电力电缆载流量

注:以上电缆载流量计算条件
1. 线芯长期工作温度:70℃;
2. 环境温度:25℃ ;
3. 埋地深度:1000mm;
4. 土壤热阻系数:1.0m.℃/W;
5. 线芯轴间距离:S=2D
2YJV、YJV、YJLV电缆1~3芯额定电压0.6/1kv-1.8/3kv电缆载流量表

注:表中计算值为铜芯载流量。铝芯载流量为铜芯的1/1.29倍
3+1、3+2、4+1、4芯、5芯YJV、YJY、YJLV、YJLY(包括钢带铠装)0.6/1kv~1.8/3kv电缆载流量:
注:表中给出计算值是铝芯载流量,铜芯栽流量为铝芯的1.29倍
YJV、YJY、YJV22额定电压在6/6、6/10kv电缆载流量
YJV、YJY、YJV22电压等级8.7/10、8.7/15kv电缆载流量表:
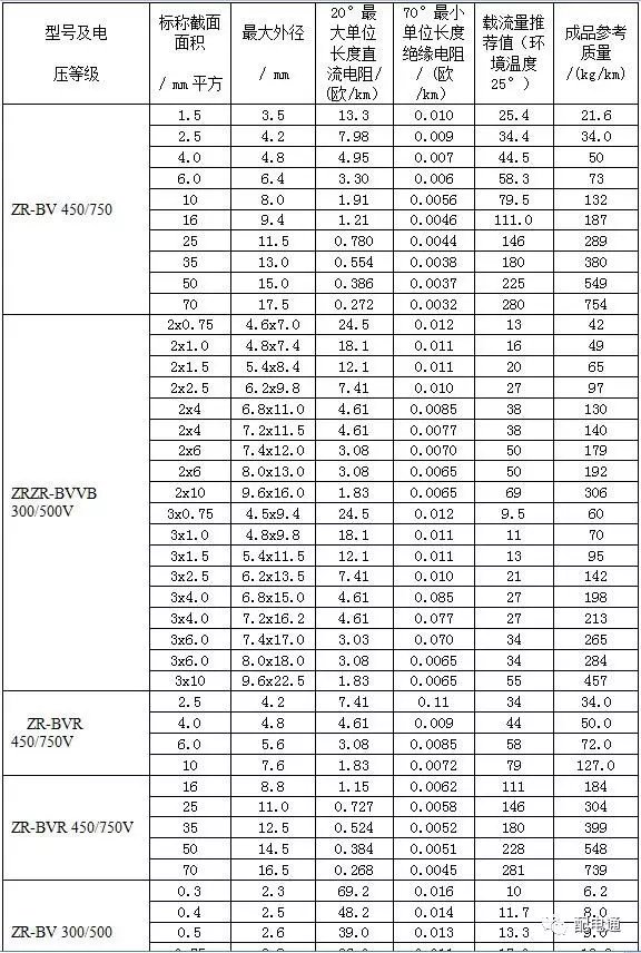
3常见BV线、BVVB型、BLVVB型、RVVB型电线载流量

BV线载流量
4通用橡套软电缆的载流量(450V/750V及以下橡胶绝缘电力电缆YQ、YQW、YHQ、YC、YCW、YHC型号的载流

5阻燃电线电缆载流量
1)B、R系列阻燃电线电缆的载流量

6ZR-YJV电力电缆载流量表


7高压交联聚氯乙烯绝缘阻燃电力电缆的载流量表,ZR-YJV、ZR-YJLV


8矿物质绝缘电缆载流量表,BTTZ铜芯铜护套氧化镁矿物质绝缘电缆载流量表


本帖子中包含更多资源

您需要 登录 才可以下载或查看,没有账号?立即注册

×
工控课堂 www.gkket.com

0

主题

416

回帖

2475

积分

高级会员

积分
2475
发表于 2019-1-4 22:27:56 | 显示全部楼层
太生气了,无法HOLD啦 >_<......
工控课堂 www.gkket.com

0

主题

314

回帖

2270

积分

高级会员

积分
2270
发表于 2019-1-4 22:29:24 | 显示全部楼层
绝对干货,楼主给力,支持了!!!
工控课堂 www.gkket.com

0

主题

473

回帖

2666

积分

高级会员

积分
2666
发表于 2019-1-4 22:41:58 | 显示全部楼层
淡定,淡定,淡定……
工控课堂 www.gkket.com

5

主题

428

回帖

2445

积分

高级会员

积分
2445
发表于 2019-1-4 22:44:50 | 显示全部楼层
我只是路过打酱油的。
工控课堂 www.gkket.com

0

主题

345

回帖

2785

积分

高级会员

积分
2785
发表于 2019-1-4 23:01:09 | 显示全部楼层
论坛有你更精彩!
工控课堂 www.gkket.com

0

主题

473

回帖

2666

积分

高级会员

积分
2666
发表于 2019-1-4 23:05:46 | 显示全部楼层
太生气了,无法HOLD啦 >_<......
工控课堂 www.gkket.com

0

主题

389

回帖

2509

积分

高级会员

积分
2509
发表于 2019-1-4 23:35:37 | 显示全部楼层
感恩无私的分享与奉献
工控课堂 www.gkket.com

0

主题

443

回帖

2487

积分

高级会员

积分
2487
发表于 2019-1-4 23:41:40 | 显示全部楼层
党的好公民,人民的好公仆。。。
工控课堂 www.gkket.com

0

主题

455

回帖

2526

积分

高级会员

积分
2526
发表于 2019-1-4 23:43:34 | 显示全部楼层
看完楼主的帖子,我的心情竟是久久不能平息,受教了
工控课堂 www.gkket.com
您需要登录后才可以回帖 登录 | 立即注册

本版积分规则

关闭

站长推荐上一条 /1 下一条

QQ|手机版|免责声明|本站介绍|工控课堂 ( 沪ICP备20008691号-1 )

GMT+8, 2025-12-22 17:04 , Processed in 0.207044 second(s), 26 queries .

Powered by Discuz! X3.5

© 2001-2025 Discuz! Team.

快速回复 返回顶部 返回列表