找回密码
 立即注册

QQ登录

只需一步,快速开始

查看: 3386|回复: 10

通用型变频器主电路及接线(附实例讲解)

  [复制链接]
  • 打卡等级:即来则安
  • 打卡总天数:29
  • 打卡月天数:1
  • 打卡总奖励:7791
  • 最近打卡:2025-12-13 17:25:16

2540

主题

1353

回帖

2万

积分

管理员

积分
21301
发表于 2022-2-20 14:15:31 | 显示全部楼层 |阅读模式
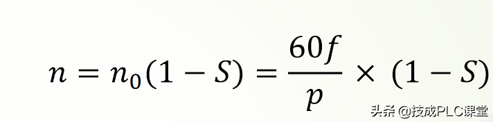
对三相异步电动机来说,其转速公式为:


从上述公式可知变频器的调速方法有变频调速、变极调速和变转差率调速,其中变频调速可以实现无级调速。变频器就是实现变频调速的装置,变频器就是利用电力电子器件的通断作用将电压和频率固定不变的工频交流电变换成电压和频率可变的交流电,供给交流电机进行调速。变频器不仅有调速功能,它还具有实现软启动、改变功率因数、过流/过压/过载保护等功能。自从变频器问世,交流调速在很大程度上取代了直流调速。变频器安装用途可以分为通用性变频器、高性能变频器和高频变频器。通用性变频器应用比较广泛,本文以西门子G120C变频器介绍其主电路和接线。

一、通用型变频器主电路
西门子G120C变频器采用交-直-交控制技术,即将三相交流电通过整流电路将交流变成直流,然后再将直流通过逆变电路变成交流。相比交-交控制技术,交-直-交控制技术具有频率调节范围宽、控制比较简单等优势。


通用性变频器电路结构主要包括主电路和控制电路,其主电路如下图所示。主电路主要由整流电路、滤波电路、制动电路和逆变电路构成。


整流电流一般是由电力二极管构成的不可控三相桥式整流电路,如上图所示。三相交流电经过桥式整流电路变成了直流电,但是这个直流电不是恒定直流而是还有电源6倍频率的波纹,如果将含有波纹的直流电直接送给逆变电路后逆变得到的交流波形也会含有波纹,为了减少波形的波动,需要对整流后直流电进行滤波。
滤波电路一般电感电容构成,即LC滤波电路,该电路可以很好的吸收直流电中含有的波纹将其变成恒定直流。对于容量较小的变频器,可以省去电感而采用简单电容滤波电路,经过滤波电路将脉动的直流电压变得稳定、平滑,供逆变器使用。
逆变电路一般是利用6个全控型功率开关元件(IGBT、GTO、GTR等)组成的三相桥式逆变电路,通过有规律地控制逆变器中功率开关器件的导通与关断,可以得到任意频率的三相交流电。逆变电路的输出就是变频器的输出,所以逆变电路是变频器的核心电路之一,起着非常重要的作用。
制动回路是为了为抑制直流电路电压上升,并把再生能量向工频电网反馈。

二、G120C变频器主电路接线
西门子G120C变频器外观如下图所示。G120C变频器主要由功率模块、控制模块和操作面板构成。


变频器的接线示意图如下图所示。下图右的①-④分别为电源、变频器、机柜与电机的保护地线。下图左是功率模块的端子连接器,变频器主电路接线主要功率模块与电源的连接、功率模块与异步电机的连接、功率模块与连接制动电阻的连接。将电源电缆连接到功率模块端子L1、L2、L3和PE端子上,电机电缆连接到变频器功率模块端子的U2、V2、W2和PE上,将制动电阻连接至变频器DCP\R1、R2端子上。这样就完成了G120C变频器主电路接线,后续变频器的使用提供了基础。


工控课堂 www.gkket.com

0

主题

116

回帖

202

积分

注册会员

积分
202
发表于 2025-11-15 12:54:05 | 显示全部楼层
水贴也要有仪式感,我先来打卡~
工控课堂 www.gkket.com

0

主题

87

回帖

131

积分

新手上路

积分
131
发表于 2025-11-15 13:13:58 | 显示全部楼层
路过打卡,为优质内容疯狂打 call
工控课堂 www.gkket.com

0

主题

1451

回帖

4571

积分

金牌会员

积分
4571
发表于 2025-11-15 14:14:38 | 显示全部楼层
救命!这波发言太秀了,直接原地封神~
疯狂认同!楼主说出了我不敢说的话
工控课堂 www.gkket.com

0

主题

92

回帖

143

积分

新手上路

积分
143
发表于 2025-11-15 14:23:23 | 显示全部楼层
这评论区卧虎藏龙,个个都是人才!
工控课堂 www.gkket.com

0

主题

347

回帖

666

积分

中级会员

积分
666
发表于 2025-11-15 15:39:18 | 显示全部楼层
画面感太强了,仿佛身临其境!
工控课堂 www.gkket.com

0

主题

116

回帖

422

积分

注册会员

积分
422
发表于 2025-11-15 16:47:22 | 显示全部楼层
救命!这回复笑到我捶桌,必须置顶~
工控课堂 www.gkket.com

0

主题

76

回帖

118

积分

新手上路

积分
118
发表于 2025-11-15 20:55:23 | 显示全部楼层
内容太顶了!疯狂点赞,已默默收藏~
工控课堂 www.gkket.com

0

主题

90

回帖

131

积分

新手上路

积分
131
发表于 2025-11-16 00:44:09 | 显示全部楼层
水个经验,支持楼主,加油呀
工控课堂 www.gkket.com

0

主题

113

回帖

453

积分

注册会员

积分
453
发表于 2025-11-17 15:32:05 | 显示全部楼层
不请自来,就想夸一句:太顶了!
工控课堂 www.gkket.com
您需要登录后才可以回帖 登录 | 立即注册

本版积分规则

关闭

站长推荐上一条 /1 下一条

QQ|手机版|免责声明|本站介绍|工控课堂 ( 沪ICP备20008691号-1 )

GMT+8, 2025-12-22 17:04 , Processed in 0.093051 second(s), 26 queries .

Powered by Discuz! X3.5

© 2001-2025 Discuz! Team.

快速回复 返回顶部 返回列表